-
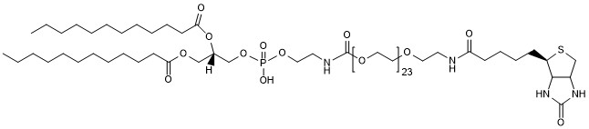
Name:DLPE-PEG24-Biotin
Catalog No.:LNP0286
Structure:
Chemical Properties Cas No.: Purity Limit:96%+ Synonyms: Molecular Weight:1906.35 Formula:C88H169N4O35PS Storage:Long term storage at -20℃ Solubility:
Shipping Condition with ice bag
Quality Control & MSDS
Description
References Related products
- DLPE-PEG36-Biotin
- DLPE-PEG45-Biotin
- DLPE-PEG48-Biotin
- DLPE-PEG24-DBCO
- DLPE-PEG36-DBCO
- DLPE-PEG45-DBCO
- DLPE-PEG48-DBCO
- DLPE-PEG24-CY3
- DLPE-PEG36-CY3
- DLPE-PEG45-CY3
Tel: +86-411-39042497
sales@alphabiopham.com
Contact us now!
We'll offer you the best prices

