-
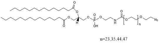
Name:DMPE-PEG-Azide (monodisperse PEG)
Catalog No.:LNP0365
Structure:
Chemical Properties Cas No.: Purity Limit:96%+ Synonyms:DMPE-PEG24-Azide、DMPE-PEG36-Azide、DMPE-PEG45-Azide、DMPE-PEG48-Azide Molecular Weight:inquiry Formula:inquiry Storage:Long term storage at -20℃ Solubility:
Shipping Condition Deliver with ice bag
Quality Control & MSDS
Description
References Related products
Tel: +86-411-39042497
sales@alphabiopham.com
Contact us now!
We'll offer you the best prices

